Граничные условия:
I(2)KA=0; I(2)KB=-I(2)KC; U(2)KB=U(2)KC.

Так как сумма фазных токов равна нулю, то система является уравновешенной.
IKA+IKB+IKC=0 => I(2)K0=0
Из уравнений (12) и граничных условий:
I(2)A=IA1+IA2=0, то есть
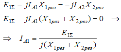
IA1=-IA2 (19)
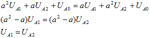
Из граничных условий U(2)KB=U(2)KC и уравнений (13):
(20)
Из уравнений (11) и учитывая соотношение токов (19), (20) и напряжений получаем:

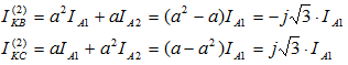
Токи в поврежденных фазах: из (12), учитывая (19)

Коэффициент взаимосвязи токов:

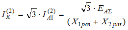
Абсолютное значение полного тока двухфазного короткого замыкания:

Мы записали выше, что
(21)
При определении U(2)A0 следует учитывать, что в системах с заземленной нейтралью X0рвз имеет конечное значение, поэтому при I(2)A0=0 и на основании уравнений (11) напряжение U(2)A0 равно нулю, а в системах с изолированной нейтралью X0рвз=∞, следовательно, U(2)A0=-∞ и это напряжение из уравнений напряжений (11) исключается.
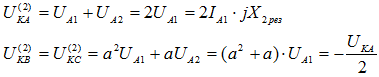
Фазные напряжения в месте короткого замыкания по уравнениям (13) с учетом граничных условий (UB=UC) и уравнения (21):

Векторные диаграммы:

| §3. Однофазное короткое замыкание< Предыдущая | Следующая >§5. Двухфазное короткое замыкание на землю |
|---|





